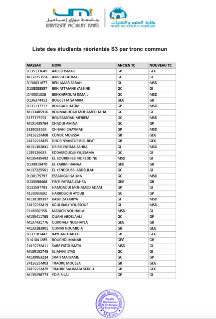
Liste des étudiants réorientés S3 par tronc commun Liste des étudiants réorientés S3 par tronc commun